Readability analysis for writers and marketers

This is what good B2B marketing looks like

Yours could look like this too.

As writers, we're working for the reader. Not your boss and not yourself. This is why readability metrics can be helpful. They are a tool to both get past your ego and management pressure to write badly.

They compare your copy mathematically against other known texts to give you feedback on its complexity and who might be able to read it. Typically, readability scores are given as a percentage or an education grade level.

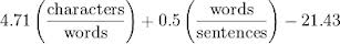
For example, here's the formula for the Automated Readability Index which outputs a grade level.

Readability formula

The point is that all these systems don't actually parse your text - they measure syllables, characters, words and sentences.

Why readability matters

Readers are increasingly impatient and overloaded with copy so even if you're writing for a well-educated and literate audience, it makes sense to write copy that is intelligible to a wider range of people. Busy, smart people will thank you for making it easier to absorb what you are saying.

Improving your readability

The first step to changing something is to measure it. In my view, readability has two components. The first is the ‘hygiene’ factors that make a piece of writing easy or hard to read. Lots of things can make something hard to read (and put people to sleep!). For example:

  • Over-punctuation. Too many %$&. Too many Capital Letters.
  • The passive voice is used too much.
  • Unnecessary acronyms and abbreviations.
  • Long sentences.
  • Using long words when short ones are better - this is relevant even for short copy, such as project names.
  • Spelling and grammatical mistakes. Typos.
  • Technical things like mishandling quotations.

I think these things make it hard to read something because they increase the work that your brain has to do to make sense of the text. There is also an accessibility aspect to all this because some people find reading harder than others. A gristly piece of text will exclude more readers than a more digestible item.

To edit text to get better readability scores, see 10 ways to slim down obese copy.

Memorable, credible and compelling copy

The second component is more positive. It comprises the techniques used to make writing memorable, credible and compelling. They teach whole courses on this at journalism school but among the things that work in business writing are:

  • Avoiding anything that switches off readers: unsubstantiated claims, jargon, hype.
  • Using strong verbs, good analogies, pithy quotations.
  • Eliminating cliches and waffly throat-clearing.
  • Credible data from the real world.
  • Citing believable authorities and people like the reader in evidence.
  • Well-written introductions, titles and subheads
  • Making the first and last sentence of each paragraph strong.
  • Use good, compelling project names

The form and structure vary according to media. Newspaper articles favour the ‘inverted pyramid’ with conclusion first and facts later. Writing for the web is another specialism.

The list goes on and, in essence, getting the hygiene factors and the positive factors right are the job of a professional writer (ahem, like those at Articulate Marketing). 

Readability analysis tools

So how do you measure good writing? The hygiene factors that lose readers if you get them wrong are easier to measure. There are statistical tools that will analyse text including Flesch Grade Level, Flesch Reading Ease and FOG. Here are some useful readability tools:

Make a readability check part of your proofreading process and watch the quality of your output improve. You can also use it to fight off managers who want you to write in a 'professional' (ie waffly, hyped-up) way that is actually harder to read and often gets ignored.

Matthew Stibbe
About the Author
Matthew is founder and CEO of Articulate Marketing. Writer, marketer, pilot, wine enthusiast and geek. Not necessarily in that order. Never at the same time.
More from Matthew Stibbe